电子俘获材料因其独特的能量存储模式和可控的光子释放方式在光存储、光传感等众多领域受到广泛关注。近年来,发光学及应用国家重点实验室张家骅研究员及其团队成员廖川博士联合东北师范大学刘峰教授和美国南佐治亚大学王笑军教授在该领域进行了系统性研究,并取得系列创新性成果。
电子俘获光存储技术
电子俘获光存储技术具有多维存储、柔性存储、纳米级存储、低功耗、环境友好等鲜明优点。该技术利用紫外光或X射线将发光中心基态电子转移到材料自身的陷阱中实现信息写入;利用陷阱对电子的俘获实现信息存储;利用红光或近红外光将陷阱中的电子激励到发光中心发出特征光信号实现信息读出。然而,分别使用短波和长波光源进行信息写入和读出导致存储器的近场结构复杂化。
针对此问题,研究团队在国际上率先提出并验证了一种单波长信息读写技术(图1)。该技术利用高功率蓝光激发下的上转换充能实现信息写入,利用同一蓝光光源低功率激励下的光激励发光实现信息读出。这一技术方案简化了存储器的近场结构,为该存储技术的集成化和小型化奠定了基础[1]。

图1 单波长信息读写技术的设计
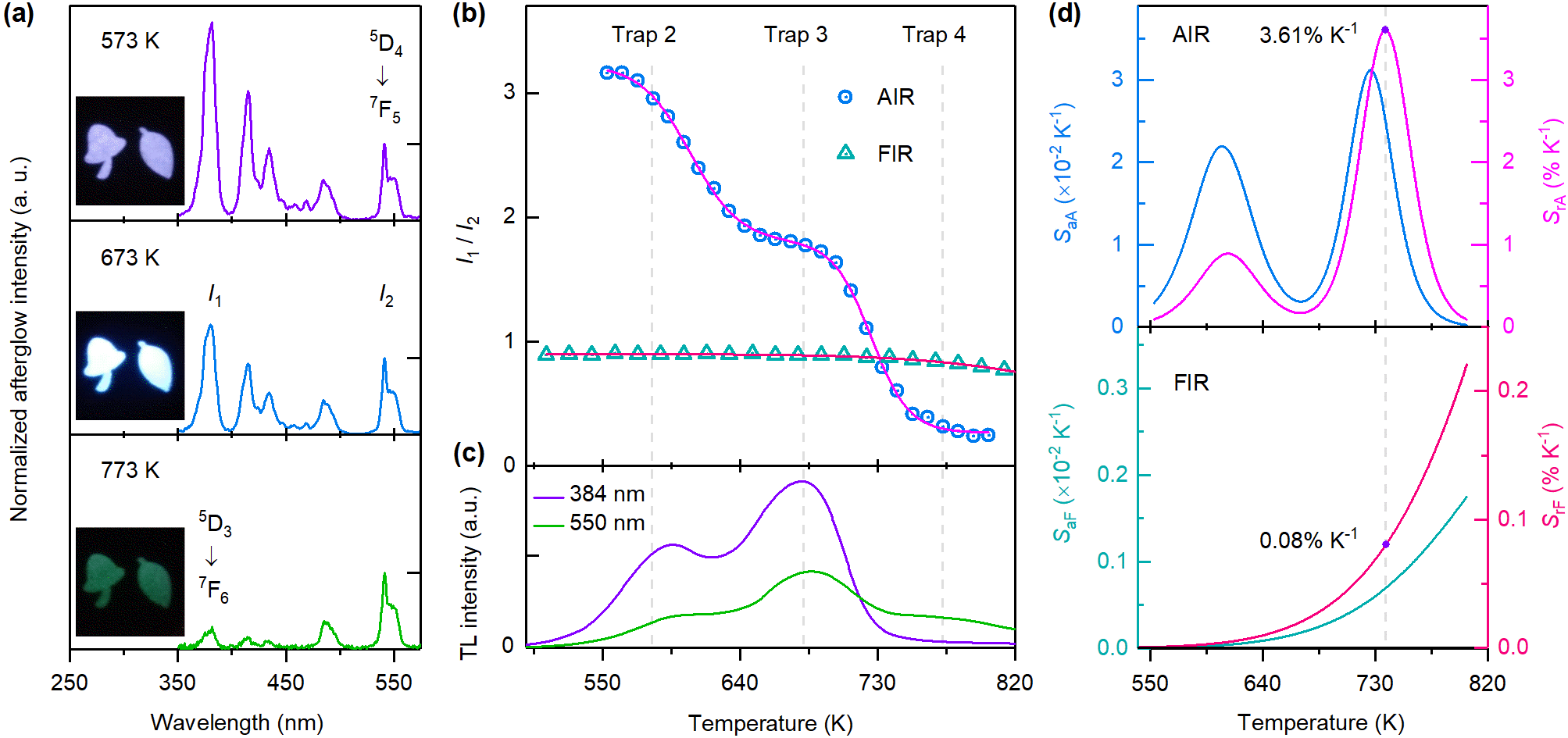
深陷阱可以抑制被俘获电子的热释放,是长期光存储的必要条件。此前报道的众多光存储材料陷阱较浅且有室温余辉,这不仅干扰了读出信息的特征光信号,而且限制了存储时间。研究团队经过大量分析和材料筛选发现Eu2+/3+在钇铝石榴中可以构造高温深陷阱,其最深陷阱达到2.37 eV(热释发光曲线的峰值温度高达765 K)。利用这些高温深陷阱实现了室温长期光信息存储和室温零背景信息读出[2]。

图2 信息读写过程中Y3Al5O12:Tb3+,Eu2+/3+的电子转移途径
余辉温度传感技术
电子俘获材料的长余辉发光是一种非实时激发的发光现象,在应用时具有零激发杂散光、零背景荧光和零产热等鲜明优点。研究团队开发了系列余辉测温材料,其发射波长覆盖紫外到近红外,以匹配不同的应用场景。在Y3Al2Ga3O12:Pr3+中利用Pr3+ 4f15d1态的紫外发射带热猝灭比3P0的发射线显著,构造了最高相对灵敏度达4.12% K-1的余辉温度计[3]。在Y3Al5O12:Tb3+,Eu2+/3+中通过余辉强度比(Afterglow intensity ratio, AIR)和荧光强度比(Fluorescence intensity ratio, FIR)的差异发现陷阱与发光中心的局域关系(图3),利用该关系开发出相对灵敏度比荧光温度计高45倍的余辉温度计[2]。这一发现也为研究发光中心与陷阱的关系开辟了新的方法。

图3 余辉温度计与荧光温度计性能的比较
最近,研究团队又开发了一种Sm2+激活的长波充能长余辉材料SrAl2Si2O8:Sm2+,Nd3+,揭示了量子隧穿在可见光(包括红光)充能和深红色余辉发射过程中的主导地位(图4)。利用Sm2+ 4f55d1和5D0能级在余辉过程中的热耦合,开发了基于余辉强度比的光学温度计,其最高灵敏度在200 K为4.81% K-1,在生理温度范围内为2.17-1.82% K-1。研究还验证了该材料在同步生物成像和温度传感中的潜在应用[4]。

图4 量子隧穿主导可见光充能
基于对余辉温度传感技术的研究,研究团队从余辉温度计的性能评估、温度依赖余辉光谱的物理起源、长余辉材料的充能、存储和发射等多个角度对余辉温度传感技术进行了系统性分析,并展望了光激励发光、光激励余辉、力致发光等现象可能为余辉温度传感技术带来的新应用场景[5]。
以上研究成果以学术论文(Laser & Photonics Reviews、Acta Materialia等期刊)、学术专著(Wiley-VCH出版社)、发明专利(ZL202111082090.X、ZL202111323976.9等)、学位论文[6]等多种形式发表在国内外著名学术平台。
全文链接:
[1] Liao C, Wu H, Wu H, et al. Laser & Photonics Reviews, 2023, 17(8): 2300016. https://doi.org/10.1002/lpor.202300016
[2] Liao C, Liu F, Wu H, et al. Laser & Photonics Reviews, 2024, 18(7): 2300924. https://doi.org/10.1002/lpor.202300924
[3] Liao C, Chen F, Wu H, et al. Journal of Materials Chemistry C, 2022, 10(33): 11884-11890. https://doi.org/10.1039/D2TC02417A
[4] Liao C, Liu F, Wu H, et al. Acta Materialia, 2024, 279: 120322. https://doi.org/10.1016/j.actamat.2024.120322
[5] Liao C, Liu F, X Wang, et al. Persistently Luminescent Materials: From Development to Applications. Chapter 8. ISBN: 978-3-527-35313-2, 2025, Wiley-VCH. https://www.wiley-vch.de/de?option=com_eshop&view=product&isbn=978-3-527-35313-2
[6] 廖川. 面向光存储与温度传感应用的电子俘获材料及其光谱学研究[D]. 北京: 中国科学院大学, 2024.